04/01/2019
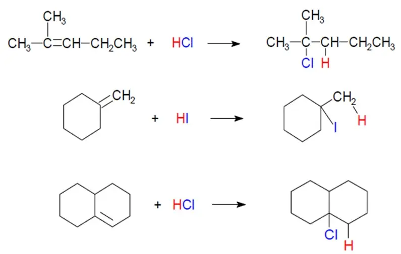
La adición de un halogenuro de hidrógeno a un alqueno es una reacción fundamental en química orgánica, conocida como hidrohalogenación. Esta reacción implica la ruptura del enlace pi (π) del alqueno y la adición de un halógeno (F, Cl, Br, I) y un átomo de hidrógeno al carbono del doble enlace. Comprender este proceso es crucial para sintetizar una amplia variedad de compuestos orgánicos.

Mecanismo de reacción
La hidrohalogenación sigue típicamente un mecanismo de adición electrofílica. Este mecanismo consta de dos etapas principales:
- Etapa 1: Ataque electrofílico. El haluro de hidrógeno (HX) se disocia, formando un ion hidrógeno (H+) que actúa como electrófilo. Este ion H+ se une al carbono del doble enlace que tiene más hidrógenos enlazados. Este comportamiento se conoce como regla de Markovnikov.
- Etapa 2: Ataque nucleofílico. El anión haluro (X-) actúa como nucleófilo y se une al carbono del doble enlace que tiene menos hidrógenos enlazados, formando el producto final, un haloalcano.
Ejemplos:
- Adición de HBr a eteno: El HBr se adiciona al eteno para formar bromoetano. El H+ se une a un carbono del doble enlace y el Br- al otro.
- Adición de HCl a propeno: El HCl se adiciona al propeno. De acuerdo con la regla de Markovnikov, el H+ se adiciona al carbono menos sustituido, formando 2-cloropropano como producto mayoritario.
Regla de Markovnikov
La regla de Markovnikov es una observación empírica que predice la regioselectividad de la adición de un haluro de hidrógeno a un alqueno. Esta regla establece que el átomo de hidrógeno del haluro de hidrógeno se adicionará al carbono del doble enlace que ya tiene más átomos de hidrógeno unidos. Como resultado, el halógeno se adiciona al carbono menos hidrogenado (el carbono más sustituido).
Factores que influyen en la reacción
Varios factores pueden influir en la velocidad y el rendimiento de la reacción de hidrohalogenación, incluyendo:
- Naturaleza del halógeno: La reactividad de los haluros de hidrógeno disminuye en el orden HI > HBr > HCl > HF. El HI es el más reactivo y el HF el menos.
- Estructura del alqueno: Los alquenos más sustituidos reaccionan más lentamente que los alquenos menos sustituidos.
- Solvente: La naturaleza del solvente puede afectar la velocidad de reacción. Un solvente polar protico como el agua acelera la reacción.
- Temperatura: La temperatura puede influir en la velocidad de la reacción, aunque en general, temperaturas más altas aceleran la velocidad.
Aplicaciones de la hidrohalogenación
La hidrohalogenación es una reacción muy versátil y ampliamente utilizada en la síntesis orgánica para preparar una variedad de compuestos orgánicos. Algunos ejemplos de sus aplicaciones incluyen:
- Síntesis de haloalcanos: Los haloalcanos son compuestos orgánicos que contienen al menos un átomo de halógeno unido a un átomo de carbono. Estos compuestos son importantes intermediarios en la síntesis de otros compuestos.
- Síntesis de alcoholes: Los haloalcanos pueden convertirse en alcoholes mediante reacciones de sustitución nucleofílica.
- Síntesis de éteres: Los haloalcanos pueden reaccionar con alcóxidos para formar éteres.
- Síntesis de aminas: Los haloalcanos pueden reaccionar con aminas para formar aminas.
Comparación de la adición de diferentes haluros de hidrógeno
| Halogenuro de Hidrógeno | Reactividad | Producto |
|---|---|---|
| HF | Baja | Fluoralcano |
| HCl | Moderada | Cloroalcano |
| HBr | Alta | Bromoalcano |
| HI | Muy Alta | Yodoalcano |
Consultas habituales:
- ¿Qué es la adición de un halogenuro de hidrógeno a un alqueno? Es una reacción de adición electrofílica donde un haluro de hidrógeno se añade a un doble enlace carbono-carbono.
- ¿Cuál es el mecanismo de reacción? El mecanismo implica dos etapas: ataque electrofílico del H+ y ataque nucleofílico del X-.
- ¿Qué es la regla de Markovnikov? La regla predice la regioselectividad de la adición, donde el H+ se une al carbono menos sustituido.
- ¿Cuáles son las aplicaciones de la hidrohalogenación? Se utiliza ampliamente en la síntesis de haloalcanos, alcoholes, éteres y aminas.
La adición de un halogenuro de hidrógeno a un alqueno es una reacción crucial en química orgánica que permite la síntesis de una amplia gama de compuestos. La comprensión del mecanismo de reacción, la regla de Markovnikov y los factores que influyen en la reacción es esencial para el éxito en la síntesis orgánica.
